
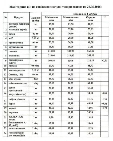
Кременчуцьке районне управління Держпродспоживслужби провело моніторинг цін на соціально значущі товари у торгівельних закладах району станом на 29 травня. З цією інформацією наше видання ознайомила Кременчуцька районна військова адміністрація.
На минулому тижні подорожчали м'ясо птиці, буряк, цибуля та морква, а суттєво знизилася ціна на молоду капусту. Варто зазначити, що Держпродспоживслужби моніторить ціни тільки на соціально значущі товари. Тому, не всі харчові продукти підпадають під цей моніторинг.
Згідно з інформацією Держпродспоживслужби, за минулий тиждень
подорожчали:
подешевшала:
У Держпродспоживслужбі закликають громадян повідомляти в управління про виявлення фактів завищення цін на соціально значущі продукти. Звертатися зі скаргами можна і до Кременчуцького районного управління Держпродспоживслужби.
Номер телефону Відділу захисту споживачів цього управління, за яким у робочий час можна повідомляти про порушення справ споживачів — 050 726 8962.
Номер телефона Головного управління Держпродспоживслужби у Полтавській області (цілодобова «гаряча лінія») — 0933620536.
У робочі дні з 9.00 до 16.00 можна зателефонувати за номером (0532) 606647.
Нагадаємо, минулого тижня на Кременчуччині дорожчали овочі, а дешевшало пальне.
Сьогодні кореспондент «Кременчуцького Телеграфа» побував на центральному ринку і відзначив, що молоду капусту там продають трохи дешевше, ніж зазначено у даних Держпродспоживслужби. У Кременчуці також стрімко знизились ціни на сезонні ягоди. Скільки коштують овочі, фрукти та ягоди сьогодні на ринку, дивіться ТУТ.
Інформація
Користувачі, які знаходяться в групі Гості, не можуть залишати коментарі до даної публікації.