
Здешевшання яєць у районі спостерігається уже другий місяць
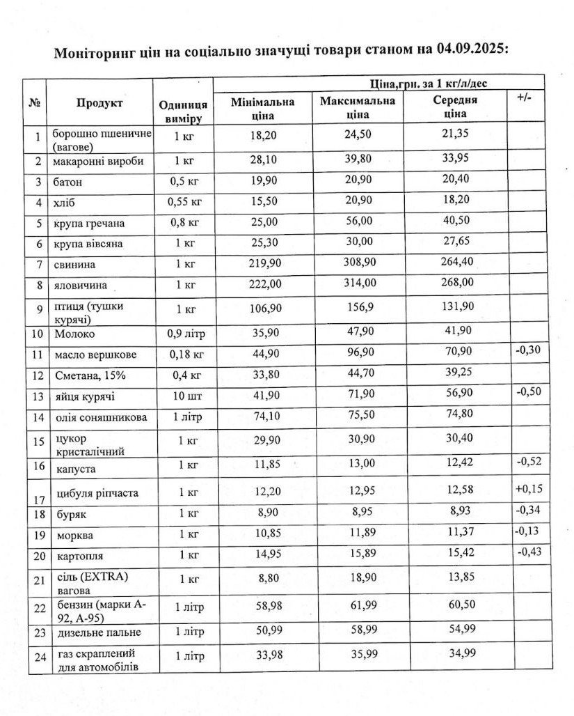
Кременчуцьке районне управління Держпродспоживслужби провело моніторинг цін на соціально значущі товари у торгівельних закладах району станом на 4 вересня. З цією інформацією наше видання ознайомила Кременчуцька районна військова адміністрація.
Упродовж минулого тижня на Кременчуччині спостерігається зниження цін на сезонні овочі «борщового набору». Так подешевшали картопля, капуста, моква, буряк та масло вершкове. Вартість цибулі трохи зросла.
Зазначимо, що здешевшання яєць у районі спостерігається уже другий місяць поспіль.
Варто зазначити, що Держпродспоживслужби моніторить ціни тільки на соціально значущі товари. Тому, не всі харчові продукти підпадають під цей моніторинг. Літні ягоди, фрукти та овочі дешевшають та дорожчають відповідно до сезону. Проте, більшість з них не потрапляє в офіційний моніторинг цін.
Згідно з інформацією Держпродспоживслужби, за минулий тиждень
подорожчали:
подешевшали:
У Держпродспоживслужбі закликають громадян повідомляти в управління про виявлення фактів завищення цін на соціально значущі продукти. Звертатися зі скаргами можна і до Кременчуцького районного управління Держпродспоживслужби.
Номер телефону Відділу захисту споживачів цього управління, за яким у робочий час можна повідомляти про порушення справ споживачів — 050 726 8962.
Номер телефона Головного управління Держпродспоживслужби у Полтавській області (цілодобова «гаряча лінія») — 0933620536.
У робочі дні з 9.00 до 16.00 можна зателефонувати за номером (0532) 606647.
Нагадаємо, тижнем раніше ми повідомляли, що у Кременчуцькому районі яйця та овочі дешевшають, але вартість картоплі трохи зросла.
Інформація
Користувачі, які знаходяться в групі Гості, не можуть залишати коментарі до даної публікації.