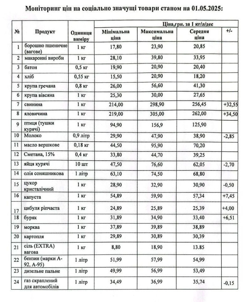
Кременчуцьке районне управління Держпродспоживслужби провело моніторинг цін на соціально значущі товари у торгівельних закладах району станом на 1 травня. З цією інформацією наше видання ознайомила Кременчуцька районна військова адміністрація.
Упродовж минулого тижня спостерігалося підвищення вартості овочів борщового набору — капусти, цибулі та буряка — та м’яса, зокрема свинини і яловичини. А от знизилися ціни на молоко, яйця, цукор та автомобільний газ.
Варто зазначити, що Держпродспоживслужби моніторить ціни тільки на соціально значущі товари. Тому, не всі харчові продукти підпадають під цей моніторинг.
Згідно з інформацією Держпродспоживслужби, за минулий тиждень
подорожчали:
- свинина — на 32,55 грн за 1 кг;
- яловичина — на 34,50 грн за 1 кг;
- буряк — на 6,51 за 1 кг;
- цибуля — на 4,00 грн за 1 кг;
- капуста — на 7,45 грн за 1 кг.
подешевшали:
- молоко — на 2,85 грн за 0,9 л;
- яйця — на 2,70 грн за 10 штук;
- цукор — на 0,50 грн за 1 кг;
- автогаз — на 0,15 грн за 1 л.

У Держпродспоживслужбі закликають громадян повідомляти в управління про виявлення фактів завищення цін на соціально значущі продукти. Звертатися зі скаргами можна і до Кременчуцького районного управління Держпродспоживслужби.
Номер телефону Відділу захисту споживачів цього управління, за яким у робочий час можна повідомляти про порушення справ споживачів — 050 726 8962.
Номер телефона Головного управління Держпродспоживслужби у Полтавській області (цілодобова «гаряча лінія») — 0933620536.
У робочі дні з 9.00 до 16.00 можна зателефонувати за номером (0532) 606647.
Нагадаємо, м’ясо почало дорожчати ще тижнем раніше.







Скоро м\’ясо в супермаркетах почне завонюватись…
помиють , підкрасять і акція!