Кременчуцька влада планує змінити ціни на послугу з управління багатоквартирним будинком. Відповідне рішення виконкому оприлюднили на сайті Кременчуцької ради.
Відомо, що «тариф» підвищується приблизно на 20%. Оновленні ціни мають почати діяти з липня 2024 року. Товариство з обмеженою відповідальністю «Житлорембудсервіс» та ще одне ТОВ «Керуюча компанія «Будсервіс» повинні попередити співвласників багатоквартирних будинків про нововведення, зазначено у документі.
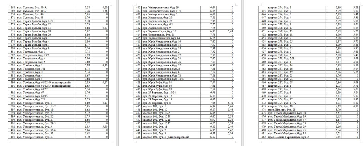
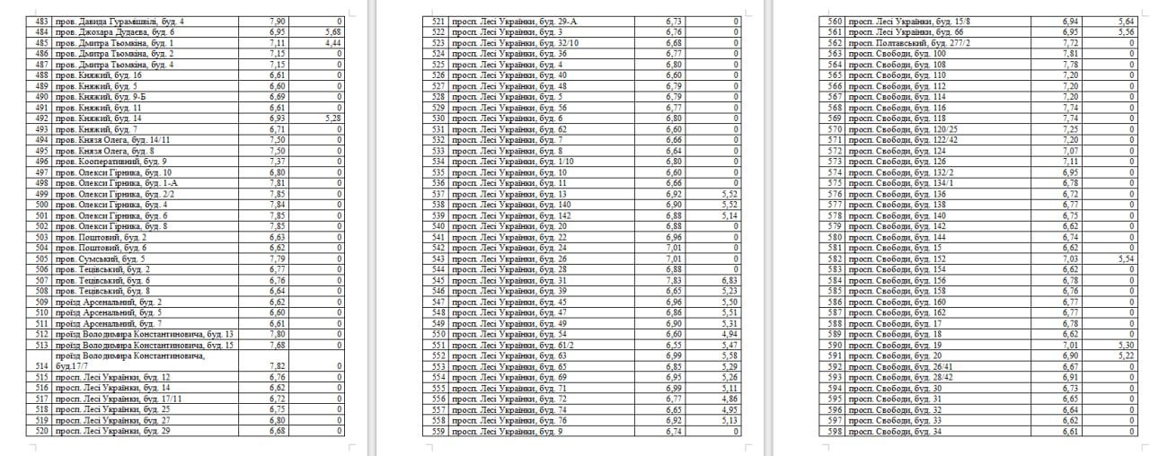
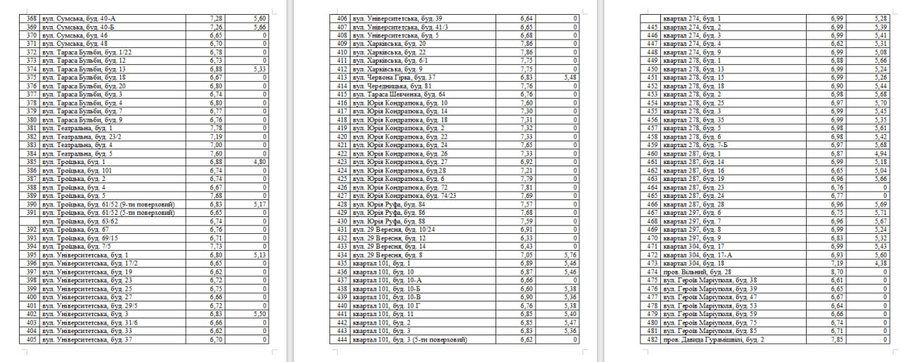
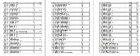
Перелік будинків з оновленими цінами:










Нагадаємо, ОСББ можуть отримати компенсацію до 3 млн грн за допомогу енергосистемі країни.