Лікарі та фельдшери Кременчуцької станції швидкої допомоги, яка є підрозділом Полтавського обласного центру екстреної медичної допомоги, станом на літо 2023 року отримують найменшу зарплату в Україні. Причому протягом року (з червня 2022 по червень 2023) вона знизилася на 3-5 тис. гривень. Про це «Кременчуцькому Телеграфу» стало відомо з відповіді Національної служби здоров’я (НСЗУ) на наш інформаційний запит.
За даними НСЗУ, яка посилається на звіт Полтавського обласного центру екстреної меддопомоги, середньомісячна заробітна плата лікаря в червні 2022 року складала 24,03 тис. гривень, середнього медперсоналу — 15,99 тис. гривень.
У червні 2023 року — вона впала до 18,59 тис. гривень у лікаря та 13,67 тис. гривень — у медперсоналу. 
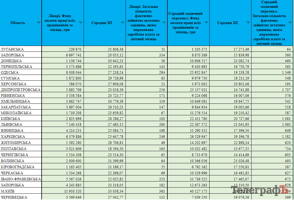
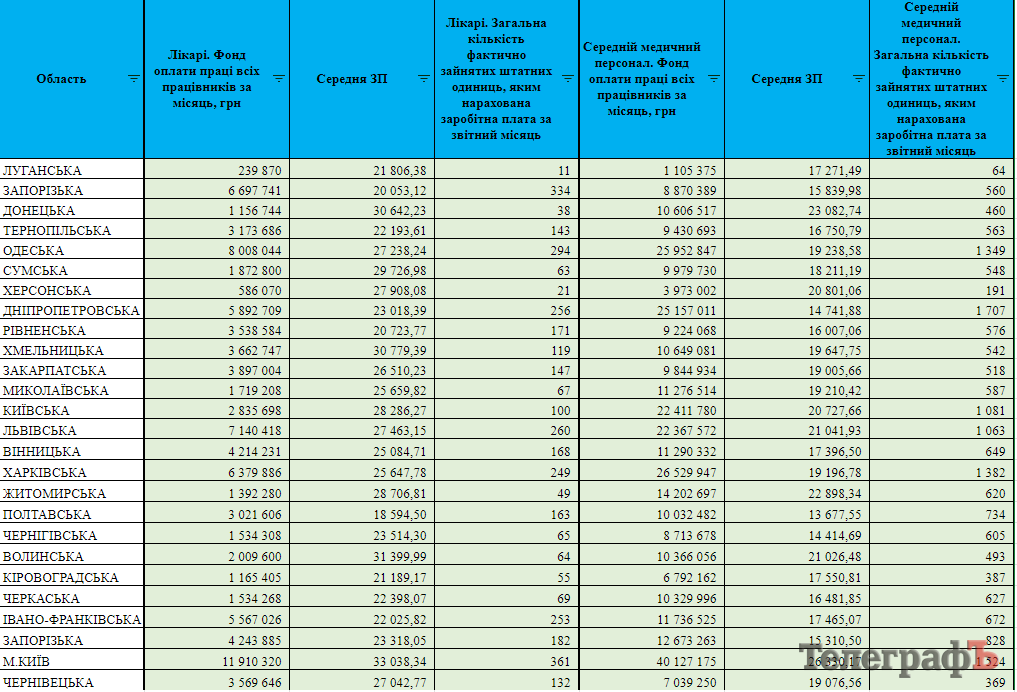
Тим часом у цьому ж місяці 2023 року лікар на Львівщині отримав у середньому 27,5 тис. гривень, на Волині — 31,3 тис. гривень, на Івано-Франківщині — 22 тис. гривень. У фельдшерів «швидкої» в цих же регіонах зарплата склала 21 тис. гривень, 21 тис. гривень та 17 — відповідно.

Детально зарплату по регіонах протягом року можна подивитися тут.
Тим часом стало відомо, що керівництво Полтавської обласної ЕМД, як виявилося, маючи значно більші оклади, щомісяця та щокварталу виписують собі премії*.
Приміром, заступник головного лікаря з медичної роботи обласної ЕМД у травні 2023 року отримав 47,8 тис. гривень, заступник головного лікаря станції меддопомоги 44 тис. гривень, заступник директора з економічних питань — 30 тис. гривень, головний бухгалтер — 30 тис. гривень.
Крім того, згідно із щомісячними та щоквартальними наказами в. о. директора Полтавської обласної станції екстреної допомоги Дмитра Лавренка (на фото справа), погодженими з директором обласного департаменту охорони здоров’я Віктором Лисаком (на фото зліва), топменеджмент обласної екстренки отримує премії від 15 до 24 тис. гривень. Сам Дмитро Лавренко за погодженням із Лисаком отримує від одного до трьох посадових окладів. Розмір його окладу невідомий, однак очевидно, що не менше — ніж у підлеглих.
Зазначимо, що у відповіді на наш запит у НСЗУ вказали, що рівень заробітної плати визначається керівником Полтавського обласного центру екстреної допомоги, на підставі колективного договору. Однак, за словами працівників Кременчуцької станції меддопомоги, колективний договір не є публічним документом, вони його не підписували. Договору за запитом нещодавно домігся адвокат, до послуг якого були вимушені звернутися медики. Тож лікарі та фельдшери Кременчуцької станції екстреної медичної допомоги продовжують відстоювати своє право на гідні умови праці та їх достойну оплату.
Нагадаємо, у червні медики «швидкої» вголос заявили про те, що їх права порушують. Як писав «Кременчуцький Телеграф», конфлікт виник через те, що, на думку медиків, їм недоплачують заробітну плату. «Зрівнялівка» та голі ставки — протягом багатьох місяців лікарі та фельдшери працюють без премій, без урахування надбавок за стаж, нічних змін, матеріальних допомог тощо. За словами медиків, обласне керівництво штучно та в ручному режимі зменшує зарплату. Після того, як лікарі та фельдшери міської станції швидкої допомоги озвучили вимоги щодо недорахування, на їх думку, зарплат — в обласному центрі екстреної медичної допомоги створили неадекватні умови праці та почали погрожувати звільненнями.
Цькують та погрожують: кременчуцькі медики «швидкої» скаржаться на обласне керівництво
Після виходу нашого матеріалу до Кременчуцької станції швидкої допомоги дійсно приїздили з Полтави Дмитро Лавренко та Віктор Лисак.
Місяць по тому на ситуацію зреагували в Полтавській обласній адміністрації. Тоді начальник ОВА Дмитро Лунін заявив, що працівники Кременчуцької швидкої звикли працювати не за стандартами, а зараз їм доводиться за ними працювати. А зарплата області виплачується однакова — 13,5 тисяч гривень фельдшеру та 20 тис. гривень — лікарю. І жодної «зрівняйлівки», на яку нарікають кременчуцькі медики, немає.
Лунін відповів кременчуцьким медикам «швидкої»: звикли працювати не за стандартами
*Накази про преміювання та інформація щодо оплати праці керівництва є в розпорядженні редакції