Кременчужани звикли вже чути, що міські школи погано фінансуються, їм не вистачає коштів на найнеобхідніше, і тому з батьків школярів збирають благодійні внески. Натомість у 2017-му році міська влада за ініціативи мера Кременчука Малецького вирішила заборонити збір благодійних внесків у школах та одночасно виділити школам більше коштів, щоб компенсувати скасування благодійних внесків. Тож з 1-го вересня 2017-го року збір внесків у школах скасували. Та, не дивлячись на це, чимало батьківських комітетів і далі збирали гроші з батьків школярів, пояснюючи, що бюджетних грошей катастрофічно не вистачає – або на кулери для води, або на класні журнали тощо.
Депутат Кременчуцької міськради Тетяна Сідерка вирішила проаналізувати як школи витратили кошти, виділені їм з міського бюджету, зокрема і на компенсацію скасованих благодійних внесків. Для цього вона зібрала звіти від кожної школи. Депутат аналізувала інформацію за двома статтями витрат: “придбання предметів і матеріалів” (2210) та “послуги” (2240). Ці статті витрат були обрані тому, що найчастіше з батьків учнів збирали гроші саме на придбання товарів та оплату послуг.
Після аналізу отриманої інформації депутат Сідерка дійшла висновку, що кременчуцькі школи фінансуються достатньо, проблема в тому, на що ці кошти витрачаються.

– Питання про обмежене фінансування шкіл має бути зняте. Коштів достатньо. Тут інше питання – на що ці кошти витрачалися! Можу сказати, що школи бюджетні гроші не жаліли, купували що завгодно – хто номерки для гардеробу, хто пральні машини невідомо для чого, а хто і настільні лампи по 1200 гривен. Моє завдання – показати, що грошей школам виділяють достатньо, їх треба раціонально використовувати. Тож батькі, які почують цей плач Ярославни про відсутність грошей, нехай замисляться, чи не афера це – саме так я це називаю, – каже Тетяна Сідерка.
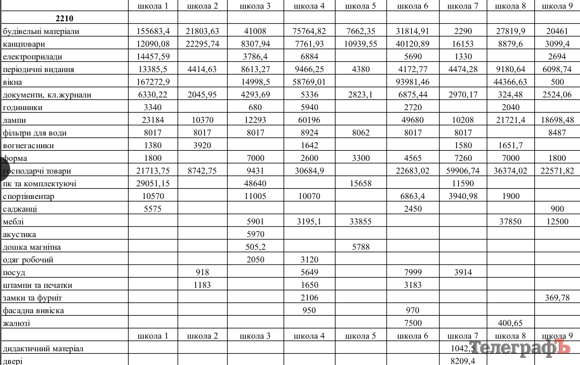
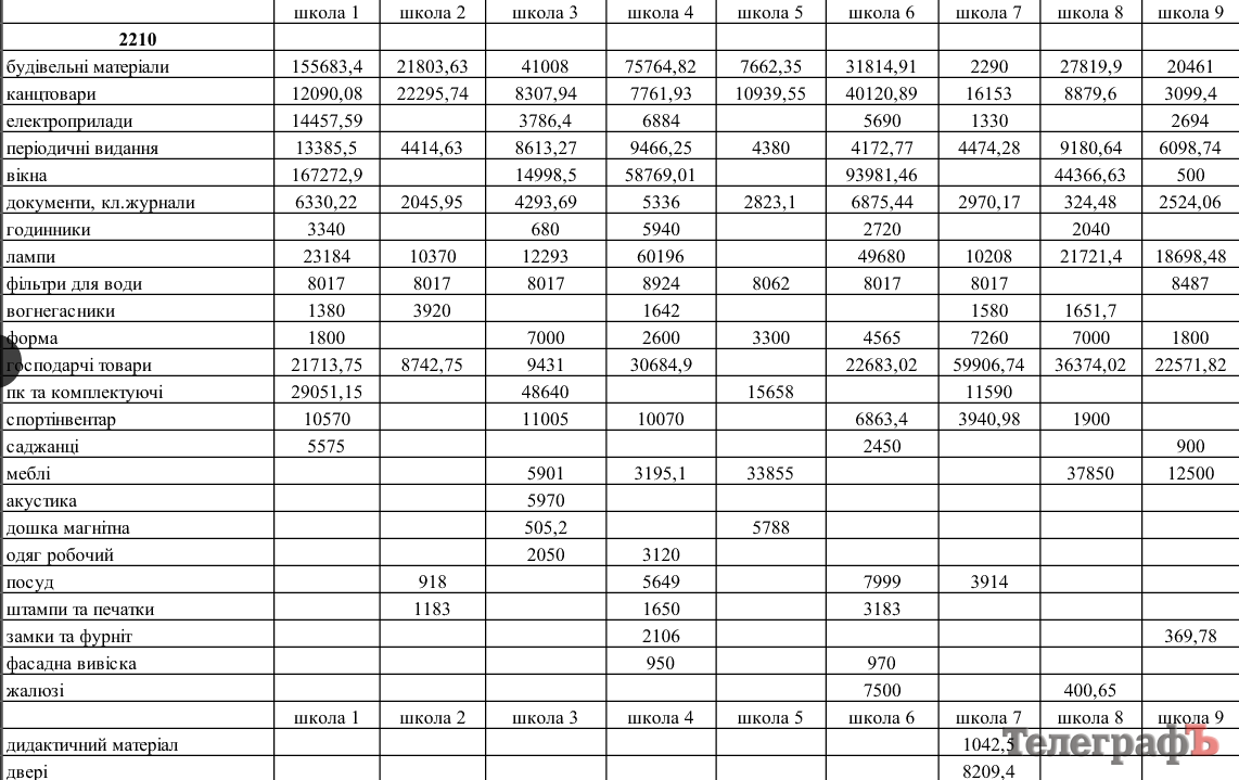
Депутат надала журналістам зведені таблиці витрат по кожній школі (в кінці матеріалу). І розповіла про шкільні покупки, які викликали у неї запитання щодо їх доречності та зависокої вартості. Ось перелік дивних покупок:
Школа №18
придбала за бюджетні гроші настільну лампу вартістю 1200 грн. Чи не задорого це для скромної бюджетної школи?

Школа №18
придбала проектор Tecro за ціною 26 700 грн. Натомість середня вартість проекторів Tecro коливається в межах від 4000 гривень до 10 000 грн – це був найдорожчим серед знайдених за пошуковим запитом.

Примітка “Телеграфа”:
Депутат Сідерка поінформувала “Телеграф”, що після оприлюднення інформації про те, що 18-та школа купила дуже дорогий проектор Tecro за 26 тисяч гривень, директор школи зателефонувала їй і повідомила, що насправді вони купили аж п’ять недорогих проекторів Tecro, а не один дорогий. Натомість у документах, наданих керівництвом школи на депутатський запит Тетяни Сідерки, зазначено чітко: “проектор Tecro”, а не “проектори”. Кількість одиниць теж не вказана (дивись фото).
Школа № 19
придбала пральну машину за 5790 грн. Депутат Сідерка не отримала відповіді, з якою метою її купили, де встановлять та хто на ній працюватиме? Адже у школах зазвичай не перуть білизну.

Школа №15 (школа-дитсадок у 278 кварталі)
купила одну за одною дві достатньо дорогі м’ясорубки. Спершу у вересні одну за 3498 грн (договір від 08.09.2017). А 1-го грудня другу – вже за 3849 грн. Навіщо одній школі одразу дві нових м’ясорубки?

Школа № 24
купила косарку. Це нормально, там на території є газон. Натомість депутат Сідерка зазначила, що у 2016-му 24-та школа вже купувала газонокосарки, причому дві, і за гроші батьків. То куди вони поділися і навіщо купувати ще одну?
– Я ще тоді, у 2016-му, ставила питання, навіщо школа купила одразу дві косарки? Мені відповіли, що друга потрібна на той випадок, якщо зламається перша, – каже депутат Сідерка.
І запитує: а чи варто так щедро розкидатися батьківськими грошима?
Школа №21
Привернули увагу депутата і покупки 21-ї школи-інтернату. Наприклад, школа витратила на заправку картриджів більше 35 тисяч – 32 245,02 грн та додатково 2765 грн. (на фото). Шоправда, у графі зазначено “заправка та поточний ремонт картриджів”. Тож, можливо, така значна сума пішла саме на ремонт, бо щоб назаправляти картриджі на 35 тисяч гривень, треба “щоб принтери стояли у кожному класі” – так пояснили “Телеграфу” фахівці.
Крім того, привернули увагу депутата і чималі суми, витрачені у 21-й школі на купівлю пального для автомобіля (52 000 грн) та запчастин до нього (51 277 грн).

Також депутат окремо зупинилася на класних журналах. Вона сказала:
– Перед початком навчального року мені скаржилися деякі вчителі, що їх змушують купувати шкільні журнали за власні гроші. Можна зробити припущення, що в школах, де офіційно на журнали витрачені незначні кошти, їх купували самі вчителі, – вважає депутат Сідерка.
Дійсно, у графі “документи, класні журнали” впадає в очі велика різниця між сумами, витраченими школами на придбання цих предметів. Звісно, кількість закуплених класних журналів залежить від кількості учнів у школі. Та й тут впадають в очі певні дива. Наприклад, маленька школа №2 закупила документів та класних журналів на 2045,95 грн, а теж маленька школа №24 купила документів та класних журналів лише на 140 гривень. Знову-таки, велика школа №1 придбала документів та класних журналів на 6330,22 грн, а не більша за неї школа-інтернат №21 купила тих же документів та класних журналів аж на 10 248 грн. Натомість ще одній великій школі №6 вистачило на це 6875,44 грн.
Питна вода: фільтри і кулери
Окрему увагу депутат Сідерка звернула на тему питної води. Вона зазначила:
– Протягом року мені писали та телефонували батьки учнів, розповідали, що збирають гроші на кулер у класі. У мене питання: навіщо збирати додаткові гроші на кулери, якщо більшість шкіл мають фільтри для води і сплачують по 8000 гривень за їхнє обслуговування та ремонт? Якщо вода очищена, яка потреба у кулерах? – каже Тетяна Сідерка.
Пропонуємо читачам подивитися у зведених таблицях, які школи сплачують чималі суми за фільтри води та їх обслуговування – адже питання питної води хвилює багатьох батьків.
Також подивитися скільки школа, де вчиться ваша дитина, витратила на канцтовари, на господарчі товари, на лампи, класні журнали та інші речі можна у зведених таблицях нижче.
Ми розповіли першу частину історії про шкільні гроші. Надалі депутат Сідерка планує завітати до шкіл, щодо витрат яких виникли питання. “Телеграф» про це обов’язково розповість читачам.




